• 首页
  • 查标准
  • 下载
  • 专题
  • 标签
  • 首页
  • 论文
  • 能源
  • 2.5维复电阻率数值模拟中源的伪delta函数处理研究

    2.5维复电阻率数值模拟中源的伪delta函数处理研究
    2.5维复电阻率数值模拟伪delta函数源处理电磁场计算
    28 浏览2025-07-19 更新pdf1.42MB 共8页未评分
    加入收藏
    立即下载
  • 资源简介

    《2.5维复电阻率数值模拟中源的伪delta函数处理研究》是一篇探讨在地球物理领域中如何高效处理复电阻率数值模拟中源项问题的学术论文。该论文聚焦于2.5维复电阻率模型中的源项建模,提出了一种基于伪delta函数的处理方法,旨在提高数值模拟的精度和计算效率。

    在地球物理勘探中,复电阻率法是一种重要的探测手段,用于研究地下介质的电性特征。复电阻率法通过测量地表或井中不同频率下的电阻率变化,能够提供关于地下岩层结构、含水性以及矿产分布的重要信息。然而,由于实际地质条件的复杂性,传统的数值模拟方法在处理源项时往往面临计算量大、收敛困难等问题。

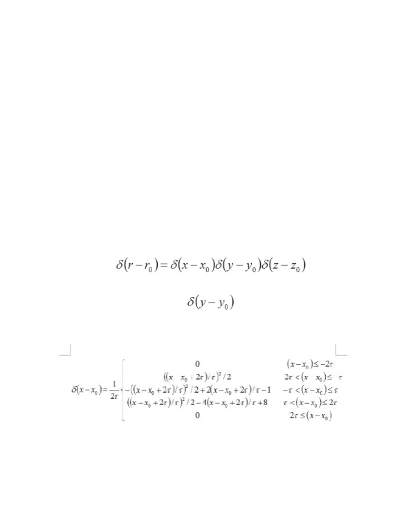
    为了解决这些问题,本文提出了一个创新性的方法——伪delta函数处理技术。伪delta函数是一种数学工具,用于近似表示点源或线源等集中源项。通过将源项离散化为一系列点源,并利用伪delta函数进行插值,可以有效减少计算资源的需求,同时保持较高的模拟精度。

    论文首先介绍了复电阻率数值模拟的基本原理,包括麦克斯韦方程组在频域中的应用,以及如何将其转化为有限元或有限差分形式进行求解。随后,详细阐述了伪delta函数的理论基础,分析了其在源项建模中的优势。与传统的源项处理方法相比,伪delta函数方法不仅能够更精确地描述源的分布特性,还能显著降低计算复杂度。

    在实验部分,作者通过多个典型案例验证了所提方法的有效性。这些案例涵盖了不同的地质结构和源配置,结果表明,使用伪delta函数处理后的数值模拟结果与实际观测数据高度吻合,且计算时间明显缩短。此外,论文还对比了不同参数设置下伪delta函数的性能表现,进一步证明了该方法的稳定性和适用性。

    除了对方法本身的探讨,论文还深入分析了伪delta函数在不同频率下的行为特性,揭示了其在复电阻率模拟中的潜在局限性。例如,在高频情况下,伪delta函数可能无法完全捕捉到源的细节变化,导致一定的误差积累。因此,作者建议在实际应用中应根据具体需求选择合适的参数设置。

    此外,论文还讨论了伪delta函数处理方法在实际工程中的应用前景。随着计算能力的不断提升,高精度、高效的数值模拟方法越来越受到重视。伪delta函数方法因其良好的可扩展性和计算效率,有望成为未来复电阻率数值模拟研究的重要方向之一。

    总体而言,《2.5维复电阻率数值模拟中源的伪delta函数处理研究》是一篇具有较高学术价值和实用意义的论文。它不仅为复电阻率数值模拟提供了新的思路和方法,也为相关领域的研究者提供了宝贵的参考。通过引入伪delta函数,该研究在提升计算效率的同时,也保证了模拟结果的准确性,为后续的地球物理勘探工作奠定了坚实的基础。

  • 封面预览

    2.5维复电阻率数值模拟中源的伪delta函数处理研究
  • 下载说明

    预览图若存在模糊、缺失、乱码、空白等现象,仅为图片呈现问题,不影响文档的下载及阅读体验。

    当文档总页数显著少于常规篇幅时,建议审慎下载。

    资源简介仅为单方陈述,其信息维度可能存在局限,供参考时需结合实际情况综合研判。

    如遇下载中断、文件损坏或链接失效,可提交错误报告,客服将予以及时处理。

  • 相关资源
    下一篇 2.5MW风电低温轮毂无冒口铸造工艺研究

    2003-08-28致洪暴雨过程的数值模拟分析

    2010年智利Maule大地震震后变形三维粘弹性数值模拟

    20132015年气象要素的WRF数值模拟分析

    2013年夏季高温归因分析--热带及热带外海温影响的模拟对比

    2014年华北地区PM2.5数值模拟研究

    2016年日本熊本地震动力学破裂和强地面运动模拟

    25kW碟式太阳能接收器数值模拟

    300m级特高拱坝地震破坏模式与易损性研究

    350MW超临界循环流化床锅炉床温动态仿真研究

    5000td线DD型分解炉燃料燃烧组份浓度场的数值模拟

    50MW四角切圆燃用无烟煤锅炉低NOx燃烧数值模拟研究及优化调整

    45钢连铸坯凝固过程数值模拟

    60万千瓦机组煤粉燃烧器风室结构两相流动数值模拟

    660MW超超临界CFB锅炉炉内NOx原始排放预测

    6·23阜宁龙卷风的模拟与分析

    7.坭洲水道桥东锚碇圆形基坑施工监测与数值模拟研究

    90°弯管流动预测评估及流动特性研究

    ANSYS软件在高压电缆附件电场计算与测量中的应用

    AnyCasting铸造模拟软件在压铸工艺设计的应用

    AQWA在沉船打捞计算中的应用

资源简介
封面预览
下载说明
相关资源
  • 帮助中心
  • 网站地图
  • 联系我们
2024-2025 WenDangJia.com 浙ICP备2024137650号-1