• 首页
  • 查标准
  • 下载
  • 专题
  • 标签
  • 首页
  • 论文
  • 电力
  • 瞬变电磁法观测电位误差分析研究

    瞬变电磁法观测电位误差分析研究
    瞬变电磁法电位误差观测误差电磁勘探误差分析
    25 浏览2025-07-19 更新pdf1.51MB 共8页未评分
    加入收藏
    立即下载
  • 资源简介

    《瞬变电磁法观测电位误差分析研究》是一篇探讨瞬变电磁法在实际应用中观测电位误差来源及其影响的研究论文。该论文旨在通过对瞬变电磁法测量过程中可能产生的各种误差因素进行系统分析,为提高观测数据的精度和可靠性提供理论支持和技术指导。

    瞬变电磁法是一种广泛应用的地球物理勘探方法,主要用于探测地下介质的电性结构。其基本原理是通过向地下发射一个脉冲电流,然后在电流关闭后,测量由地下介质感应产生的二次磁场变化。这种方法具有非破坏性、高分辨率和较强的穿透能力等优点,被广泛应用于矿产资源勘探、工程地质调查和环境监测等领域。

    然而,在实际应用中,由于多种因素的影响,瞬变电磁法的观测结果往往存在一定的误差。这些误差可能来自于设备本身的性能限制、测量环境的变化、数据处理过程中的算法选择以及人为操作等因素。因此,对观测电位误差进行深入分析,对于提升瞬变电磁法的应用效果具有重要意义。

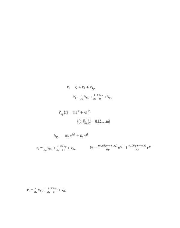
    本文首先介绍了瞬变电磁法的基本原理和观测流程,阐述了观测电位在瞬变电磁法中的重要性。接着,从多个方面详细分析了可能导致观测电位误差的因素,包括仪器精度、地表干扰、地下介质的不均匀性以及数据采集和处理过程中的问题。通过对这些因素的逐一分析,作者指出,不同的误差来源对观测结果的影响程度各不相同,需要有针对性地进行控制和修正。

    在误差分析的基础上,论文还探讨了如何通过改进仪器设计、优化观测参数设置以及采用更先进的数据处理技术来减少观测电位误差。例如,采用更高精度的传感器可以有效降低仪器本身带来的误差;通过合理布置观测点和增加观测次数,可以减少地表干扰的影响;利用数值模拟方法对地下介质的复杂结构进行建模,有助于提高数据处理的准确性。

    此外,论文还通过实验验证了上述分析方法的有效性。作者选取了多个典型的地质条件进行测试,并对比了不同条件下观测电位的误差情况。实验结果表明,经过优化后的观测方法能够显著提高数据的准确性和一致性,从而为后续的数据解释和地质推断提供了更加可靠的基础。

    本文的研究成果不仅对瞬变电磁法的实际应用具有重要的指导意义,也为相关领域的研究人员提供了新的思路和方法。通过对观测电位误差的深入分析,有助于推动瞬变电磁法在更复杂地质条件下的应用,进一步提升其在地球物理勘探中的价值。

    总之,《瞬变电磁法观测电位误差分析研究》是一篇具有较高学术价值和实用意义的论文,它不仅系统地分析了瞬变电磁法观测过程中存在的误差问题,还提出了切实可行的解决方案,为相关技术的发展和应用提供了有力的支持。

  • 封面预览

    瞬变电磁法观测电位误差分析研究
  • 下载说明

    预览图若存在模糊、缺失、乱码、空白等现象,仅为图片呈现问题,不影响文档的下载及阅读体验。

    当文档总页数显著少于常规篇幅时,建议审慎下载。

    资源简介仅为单方陈述,其信息维度可能存在局限,供参考时需结合实际情况综合研判。

    如遇下载中断、文件损坏或链接失效,可提交错误报告,客服将予以及时处理。

  • 相关资源
    下一篇 瞬变电磁测井响应特征

    矿井瞬变电磁法超前探测2.5维反演研究

    矿山井下瞬变电磁法数据采集影响因素研究

    计重设备的误差来源分析及改善措施

    静力水准数据处理方法研究

    音频大地电磁法在矿山资源储量核实中的应用研究

    频率域CSEM法弱信号区探测能力分析

    45°型万能铣头精度特性及其调整计算和研究

    8~14μm辐射温度计标定公式误差分析

    ARL3460直读光谱仪的误差分析及钨电极的重复利用

    BDS-3伪距定位精度分析

    CS2024型给煤机计量误差分析及校验方法

    CSAMT在深部地质探测中的应用

    DeltaL损耗测试技术研究

    EC凸轮轴靶齿孔加工精度问题分析

    FPGA数据截位误差分析研究

    GNSS接收机原始观测量精度测量方法研究

    GNSS组合精密单点定位性能分析

    INSGNSS组合导航传感器误差对轨道状态评价影响分析研究

    LC-MS校准装置测量不确定度分析

    OSB产品及其对精密单点定位影响分析

资源简介
封面预览
下载说明
相关资源
  • 帮助中心
  • 网站地图
  • 联系我们
2024-2025 WenDangJia.com 浙ICP备2024137650号-1